Goldman's iPhone 17 Breakdown Ahead Of "Awe Dropping" Event
Apple announced on Tuesday that its upcoming "Awe Dropping" iPhone 17 event will take place on September 9. The launch is expected to feature an all-new super-thin iPhone, new Watch models with satellite connectivity, and the long-awaited AirPods Pro 3.
Ahead of the launch event, Goldman analysts led by Michael Ng told clients that his desk is "Buy" rated on the stock.
"We are encouraged by reports surrounding (1) form factor updates to iPhone 17 models (17 "Air" model, larger base screen size); (2) the potential for a price increase to the iPhone 17 Pro; and (3) continued carrier competition driving device-related promotions," Ng told clients.
He stated, "We reiterate our Buy rating on AAPL and forecast iPhone revenue to grow +5% yoy in F2025E before accelerating to +7% yoy growth in F2026E."
Ng expects four new iPhone models to be launched at the beginning of the iPhone 17 cycle:
iPhone 17 (base);
iPhone 17 "Air" (replacing the Plus model);
iPhone 17 Pro; and
iPhone 17 Pro Max.
So, what's really changing with the new iPhone? Good question. The analyst provides some thoughts:
First, the iPhone 17 series will reportedly feature a variety of different form factor changes (Exhibit 1). For one, Apple should debut the first iPhone 17 "Air" model (which should replace the iPhone "Plus" model), featuring a thinner and lighter form factor relative to other iPhone models, with a display size between that of the 17 Pro (6.3") and 17 Pro Max (6.9"). In addition, the iPhone 17 base model display size should now measure 6.3" (v. 6.1" in the base iPhone 16 model), now equal to that of Pro models. Second, the iPhone 17 series should be able to support greater compute intensity, with updated A19 series processor chips and 12 GB of RAM (v. 8GB RAM in the iPhone 16 family). iPhone 17 Pro & Pro Max models should feature premium chip models (likely A19 Pro), and the iPhone 17 (base) and Air models featuring a less advanced chip model (A19 base or less compute intensive A19 Pro). Greater chip power and RAM capacity likely reflects a greater need for compute intensity ahead of upcoming Apple Intelligence feature updates and releases, including the 2026 expected release of AI-enhanced Siri. Third, the iPhone 17 series should see an improved front camera (24 MP v. 12 MP in the iPhone 16 family).
Thoughts on pricing:
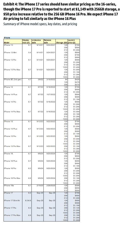
Though it has been reported that Apple could raise prices by $50 across its iPhone 17 line up, we expect pricing for iPhone 17 (base) and Pro Max models to be in-line with that of preceding models ($799 128GB base model starting price; $1,199 256GB Pro Max starting price). That said, we believe Apple could implicitly raise prices on the Pro model, in-line with recent reports. While the iPhone 16 Pro started at 128GB at $999, we believe Apple could raise prices by eliminating the 128 GB storage option, moving 17 Pro starting storage and price to 256 GB and $1,099. This would be similar to how Apple raised prices on Pro Max models in 2023 during the launch of the iPhone 15 series, when it eliminated the $1,099 128 GB storage option for the iPhone 15 Pro Max, moving the Pro Max model's starting storage and price to 256 GB and $1,199. We expect iPhone 17 Air pricing to be relatively in-line with the iPhone 16 Plus ($899), due to its specialized thin form factor yet reported inferior battery capacity and single-lens back camera.
And what does the new iPhone mean for Apple's revenue growth? Well, Ng has that topic covered as well:
Overall, we view the iPhone 17 line-up as supportive of sustaining iPhone revenue growth from F2025 into F2026 (GSe iPhone revenue growth estimates for +5% yoy in F2025E, +7% yoy in F2026E). First, from a demand standpoint, we view updates including larger screen sizes on the 17 base model, improved front-cameras, and improved processor chip power as supportive of device refresh, particularly amongst members of the iPhone installed base with devices that are aging (>3 years since purchase) or that do not support Apple Intelligence (devices less powerful than iPhone 15 Pro and 15 Pro Max) ahead of the launch of additional AI features in the coming year (AI-enhanced Siri). Second, from a price perspective, we view the potential for an implicit iPhone price increase through eliminating the 128GB $999 Pro model option as supportive of ASP uplift over time, particularly as the iPhone shipments skew increasingly premium over time (Exhibit 5). We are mixed on the benefits of the iPhone 17 Air model. While the thinner, lighter form factor may drive some demand interest, potential features such as an inferior battery & a single lens rear camera (vs. base model with 2 lenses & better camera) may not justify a purchase over the iPhone 17 base model.
Summary of key changes expected in iPhone 17 series
iPhone announcement event has not historically been a stock catalyst for outperformance/underperformance
Promotional activity among US carriers for iPhones
iPhone 17 pricing
iPhone revenue forecast
Remaining product pipeline
How "Awe Dropping" will this upcoming launch event be if the iPhone 17 still looks the same as previous iPhone models?








